ФУНДАМЕНТАЛЬНАЯ И ПРИКЛАДНАЯ МАТЕМАТИКА
2002, ТОМ 8, ВЫПУСК 1, СТР. 141-150

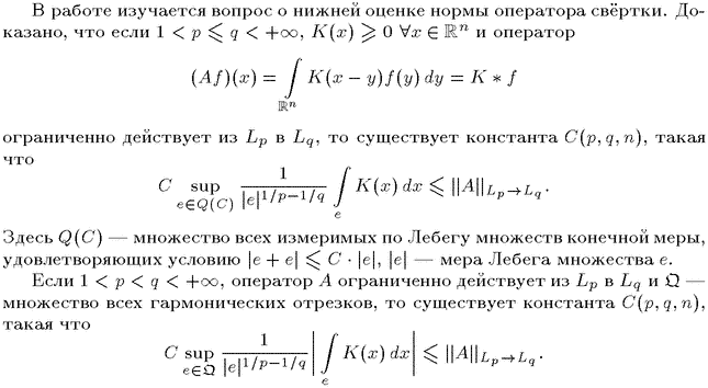
О нижней оценке нормы интегрального оператора свёртки

Е. Д. Нурсултанов
К. С. Сайдахметов

Аннотация

Посмотреть как HTML    Посмотреть как рисунок    Посмотреть в формате LaTeX

Аннотация в формате gif

Полнотекстовая версия статьи в формате PostScript (49 Kb)

Главная страница Содержание журнала Новости Поиск

URL страницы: http://mech.math.msu.su/~fpm/rus/k02/k021/k02112g.htm.
Изменения вносились 8 июля 2002 г.