FUNDAMENTALNAYA I PRIKLADNAYA MATEMATIKA

(FUNDAMENTAL AND APPLIED MATHEMATICS)

2010, VOLUME 16, NUMBER 6, PAGES 45-62

Hyperbolas over two-dimensional Fibonacci quasilattices

V. G. Zhuravlev

Abstract

View as HTML     View as gif image

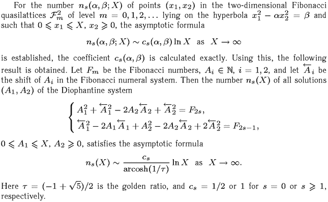
Gif image of the abstract

Main page Contents of the journal News Search

Location: http://mech.math.msu.su/~fpm/eng/k10/k106/k10605g.htm
Last modified: July 5, 2011